Przypomnienie wiadomości o wektorach, pochodnych i całkach
| Strona: | LeIA |
| Kurs: | Start z LeIA - przykładowy kurs |
| Książka: | Przypomnienie wiadomości o wektorach, pochodnych i całkach |
| Wydrukowane przez użytkownika: | Gość |
| Data: | niedziela, 17 maja 2026, 00:43 |
1. Wektory
Wektorami nazywamy wielkości, które wyrażamy za pomocą n liczb ustawionych w określonej kolejności, czyli uporządkowanych. Liczby te nazywamy współrzędnymi wektora. Liczba n odpowiada wymiarowi przestrzeni, w której opisujemy wielkości wektorowe. W naszym przypadku najczęściej będzie to przestrzeń trójwymiarowa, chociaż będziemy też opisywać wielkości wektorowe w przestrzeniach o mniejszej i większej niż trzy, liczbie wymiarów.
Rys.1. Wektor \( \displaystyle \vec{a} \) i przeciwny mu wektor \(- \displaystyle \vec{a} \) |
W przestrzeni trójwymiarowej wektorem jest odcinek posiadający określoną długość, kierunek i zwrot. Wektory przedstawiamy na rysunkach w postaci strzałki i oznaczamy zwykle małą literą z umieszczoną nad nią strzałką, np. \( \displaystyle \vec{a} \), lub dwoma literami (na ogół dużymi), np. AB, gdzie A oznacza początek, a B - koniec wektora. Prosta, na której leży wektor wyznacza jego kierunek, zaś strzałka określa jego zwrot, co ilustruje Rys.1. |
Wektor nazywamy swobodnym, jeśli jego początek nie jest umiejscowiony w określonym punkcie przestrzeni. Wektor taki nie ulega zmianie jeśli jego początek zostanie przesunięty pod warunkiem, że jego długość, kierunek i zwrot nie zmieniają się. W niektórych przypadkach położenie początku wektora jest istotne. Takie wektory nazywamy zaczepionymi, np. wektor, którego początek znajduje się w punkcie A, jest wektorem zaczepionym w tym punkcie.
Wektory o takich samych długościach i takich samych kierunkach, ale przeciwnych zwrotach nazywamy wektorami przeciwnymi. Mamy więc
| \( \displaystyle AB=\vec{a} ,\ BA\ =-\vec{a} \) | (1) |
![]() Rys.2. Wersor \( \displaystyle \hat{k} \) i wyrażony z jego pomocą wektor \( \displaystyle \vec{a} \) |
Wektor o długości jednostkowej nazywamy wersorem i oznaczamy na ogół małą literą z "daszkiem" np. \(\displaystyle \hat{k} \). Jeżeli kierunek wektora zgodny jest z kierunkiem danego wersora to możemy wektor ten zapisać w postaci \( \displaystyle \ \vec{a} =a\cdot \hat{k} \), gdzie \( a \) jest wielkością skalarną (liczbą) równą długości wektora \( \displaystyle \vec{a} \) Długość (moduł) wektora oznaczamy też jako \( \displaystyle \ \left| \vec{a}\right| \) . |
![]() Rys.3. Suma \( \displaystyle \vec{c} \) i różnica \( \displaystyle \vec{d} \) wektorów \( \displaystyle \vec{a} \) i \( \displaystyle \vec{b} \) |
Sumą dwóch wektorów \( \displaystyle \vec{a} \) i \( \displaystyle \vec{b} \) jest wektor \( \displaystyle \vec{c} \) stanowiący przekątną równoległoboku skonstruowanego w ten sposób, że jeden z wektorów przesuwamy równolegle do jego kierunku tak, by początek tego wektora pokrył się z końcem drugiego. Sumę wielu wektorów (wypadkową) otrzymujemy dodając do sumy dwóch pierwszych wektorów następny wektor itd. Różnica dwóch wektorów \( \displaystyle \vec{d} \) to suma wektora pierwszego i wektora przeciwnego do wektora drugiego tzn. \( \displaystyle \ \vec{a} -\vec{b} \ =\vec{a} \ +\left( -\vec{b}\right) \), Ilustruje to Rys. 3 gdzie różnicą wektorów \( \displaystyle \vec{a} \) i \( \displaystyle \vec{b} \) jest wektor \( \displaystyle \vec{d} \). |
Iloczyn danego wektora \( \displaystyle \vec{a} \) przez skalar s, to inny wektor \( \displaystyle \ \ \vec{c} =s\cdot \vec{a} \) o tym samym kierunku, ale długości stanowiącej iloczyn długości wektora \( \displaystyle \vec{a} \) przez wartość skalara s i zwrocie zgodnym ze zwrotem wektora \( \displaystyle \vec{a} \) jeśli s>0 i przeciwnym gdy s<0.
![]() Rys.4. Wielkości określające iloczyn skalarny wektorów \( \displaystyle \vec{a} \) i \( \displaystyle \vec{b} \) |
Iloczyn skalarny dwóch wektorów \( \displaystyle \vec{a} \) i \( \displaystyle \vec{b} \) jest liczbą (skalarem) określonym przez iloczyn
|
Iloczyn wektorowy wektorów \( \displaystyle \vec{a} \) i \( \displaystyle \vec{b} \), to taki wektor \( \displaystyle \vec{c} \), którego długość wynosi
| \( \displaystyle \ \left| \vec{c}\right| =a\cdot b\cdot | sin\ \alpha | \) | (3) |
a kierunek jest prostopadły do kierunków obu wektorów \( \displaystyle \vec{a} \) i \( \displaystyle \vec{b} \). Zależności te pokazane są na Rys.5. Widać, że długość wektora \( \displaystyle \vec{a} \) równa jest polu równoległoboku wyznaczonemu przez wektory \( \displaystyle \vec{a} \) i \( \displaystyle \vec{b} \).
Rys.5. Wyznaczenie iloczynu wektorowego |
Zwrot wektora \( \displaystyle \vec{c} \) jest taki, by układ wektorów \( \displaystyle \vec{a} \) , \( \displaystyle \vec{b} \) i \( \displaystyle \vec{c} \) był prawoskrętny. Układ jest prawoskrętny kiedy kierunek wektora \( \displaystyle \vec{c} \) zgodny jest z kierunkiem wkręcania śruby prawoskrętnej przy najkrótszym obrocie wektora \( \displaystyle \vec{a} \) do położenia wektora \( \displaystyle \vec{b} \). Inaczej mówiąc - kiedy najkrótszy obrót wektora \( \displaystyle \vec{a} \) do położenia wektora \( \displaystyle \vec{b} \) odpowiada kierunkowi zginania palców prawej ręki, to kciuk wskazuje kierunek wektora \( \displaystyle \vec{c} \). Należy pamiętać, że dla iloczynu wektorowego \( \displaystyle \ \vec{a} \times \vec{b} =-\vec{b} \times \vec{a} \), tj. nie zachodzi prawo przemienności. |
Podwójny iloczyn wektorowy może być zapisany w postaci
| \( \displaystyle \ \vec{a} \times \left(\vec{b} \times \vec{c} \ \right) =\ \vec{b} \cdot \ \left(\vec{a} \cdot \vec{c}\right) \ -\vec{c} \ \cdot \left(\vec{a} \cdot \vec{b}\right) \) | (4) |
Wektory w układzie współrzędnych prostokątnych.
![]() Rys.6. Wektor \( \displaystyle \vec{a} \) i jego składowe w układzie współrzędnych prostokątnych |
Trójwymiarowy układ współrzędnych prostokątnych tworzą trzy osie wzajemnie prostopadłe przecinające się w jednym punkcie stanowiącym początek układu współrzędnych. Na osiach obiera się jednostki miary, a kierunki osi X,Y,Z określone są odpowiednio przez wersory \( \displaystyle \ \hat{i} ,\hat{j} ,\hat{k} \), Rys. 5. Tak określony układ jest układem prawoskrętnym tj. ruch obrotowy od osi X w kierunku osi Y powoduje przesuwanie się śruby prawoskrętnej w kierunku osi Z. |
Każdy wektor można przedstawić w układzie współrzędnych prostokątnych w postaci sumy trzech wektorów składowych. Na rysunku 6 pokazane są składowe wektora \( \displaystyle \vec{a} \), które oznaczamy: \( \displaystyle \ \overrightarrow{a_{x}} ,\overrightarrow{a_{y}} ,\overrightarrow{a_{z}} \). Wektor \( \displaystyle \vec{a} \) jest sumą
| \( \displaystyle \ \vec{a} =\overrightarrow{a_{x}} +\overrightarrow{a_{y}} +\overrightarrow{a_{z}} =a_{x} \cdot \hat{i} +a_{y} \cdot \hat{j} +a_{z} \cdot \hat{k} \) | (5) |
Wielkości skalarne \( \displaystyle a_{x} ,a_{y} ,a_{z} \) nazywamy współrzędnymi wektora \( \displaystyle \vec{a} \). Wielkości te również określają wektor, co zapisujemy w postaci \( \displaystyle ( a_{x} ,a_{y} ,a_{z}) \) .
Długość wektora można wyznaczyć łatwo za pomocą jego współrzędnych, np. obliczając kwadrat wektora \( \displaystyle \vec{a} \) na podstawie wzoru ( 5) mamy
| \( \displaystyle a^{2} =a^{2}_{x} +a^{2}_{y} +a^{2}_{z} \) , czyli \( \displaystyle a=\sqrt{a^{2}_{x} +a^{2}_{y} +a^{2}_{z}} \) | (6) |
(Przy podnoszeniu do kwadratu wzięliśmy pod uwagę, na podstawie wzoru (2), że kwadrat wektora to kwadrat jego długości, a iloczyny skalarne dwóch różnych składowych są równe zeru, bowiem kąt miedzy nimi jest kątem prostym, wiec jego cosinus równy jest zeru.)
Długość wektora w układzie współrzędnych prostokątnych równa jest więc pierwiastkowi z sumy kwadratów jego współrzędnych.
W układzie współrzędnych prostokątnych wyjątkowo łatwo wykonuje się operacje na wektorach. Współrzędne wektora \( \displaystyle \vec{a} \) będącego sumą \( \displaystyle \vec{c} =\vec{a} +\vec{b} \) wyrażają się poprzez sumy współrzędnych wektorów \( \displaystyle \vec{a} \) i \( \displaystyle \vec{b} \)
| \( \displaystyle c_{x} =a_{x} +b_{x} \) , \( \displaystyle c_{y} =a_{y} +b_{y} \) , \( \displaystyle c_{z} =a_{z} +b_{z} \) | (7) |
W podobny sposób zapisujemy współrzędne różnicy wektorów.
Równie łatwo wyrazić jest wartość iloczynu skalarnego \( \displaystyle \vec{c} =\vec{a} \cdot \vec{b} \)
| \( \displaystyle \vec{a} \cdot \vec{b} =a_{x} \cdot b_{x} +a_{y} \cdot b_{y} +a_{z} \cdot b_{z} \) | (8) |
| \( \displaystyle \begin{array}{{>{\displaystyle}l}} \vec{a} \times \vec{b} =\left( a_{x} \cdot \hat{i} +a_{y} \cdot \hat{j} +a_{z} \cdot \hat{k}\right) \times \left( b_{x} \cdot \hat{i} +b_{y} \cdot \hat{j} +b_{z} \cdot \hat{k}\right) =\\ \ \ \ \ \ \ \ \ =\hat{i} \cdot ( a_{y} \cdot b_{z} -a_{z} \cdot b_{y}) +\hat{j} \cdot ( a_{z} \cdot b_{x} -a_{x} \cdot b_{z}) +\hat{k} \cdot ( a_{x} \cdot b_{y} -a_{y} \cdot b_{x}) \end{array} \) | (5) |
(Dla otrzymania tego wyniku trzeba (pracowicie) wykonać serię mnożeń poszczególnych składników, zauważyć, że zamiana kolejności mnożenia dwóch wersorów odpowiada zmianie znaku wersora trzeciego, a następnie uporządkować wyrazy otrzymanego wyrażenia.)
2. Pochodna
Pochodna funkcji \( y=f(x) \) określona jest jako granica stosunku przyrostu funkcji \( y \) do odpowiadającego mu przyrostu zmiennej niezależnej \( x \), gdy przyrost \( \Delta x \) dąży do zera.
| \( \displaystyle f^{`}( x) =\lim _{\Delta t\rightarrow 0}\frac{f( x+\Delta x) -f( x)}{\Delta x} \) | (1.3.) |
Pochodna funkcji \( y=f(x) \) jest także funkcją \( x \) i oznaczana jest symbolami: \( \displaystyle f^{`}( x) \) lub \displaystyle y^{`} lub \( \displaystyle \frac{dy}{dx} \). (Oczywiście zauważamy, że w tym przypadku litera \( d \)nie jest zmienną, tylko symbolicznym oznaczeniem; zapis \displaystyle \frac{dy}{dx} czytamy "de y po de x").
![]() |
Rys 1. Geometryczna interpretacja pochodnej. Wartość pochodnej funkcji w danym punkcie, równa jest tangensowi kąta pomiędzy osią X, a styczną do krzywej \( y=f(x) \) w punkcie o współrzędnych (x,y). Kąt ten liczy się od dodatniej półosi X w kierunku przeciwnym ruchowi wskazówek zegara. Funkcja pokazana jest krzywą koloru niebieskiego; styczna pokazana jest kolorem czerwonym. |
Różniczka \( dx \) zmiennej niezależnej \( x \) - to przyrost tej funkcji tj. \( dx= \Delta x \) (Przyrost ten może mieć dowolną wartość dodatnią lub ujemną).
Różniczka \( dy \) funkcji \( y=f(x) \) w danym punkcie - to iloczyn pochodnej \displaystyle f^{`}( x) pomnożonej przez różniczkę zmiennej niezależnej \( dx \)
| \( \displaystyle dy=f^{`}( x) \cdot dx \) | (1.3.) |
Pochodna cząstkowa funkcji wielu zmiennych \( \displaystyle y=f( x_{1} ,x_{2} ,x_{3} ,...x_{i} ,...) \) względem jednej ze zmiennych, np. \( \displaystyle x_{i} \) określona jest wzorem
| \( \displaystyle \frac{\partial y}{\partial x_{i}} =\lim _{\Delta x_{i}\rightarrow 0}\frac{f( x_{1} ,x_{2} ,x_{3} ,...x_{i} +\Delta x_{i} ,...) -f( x_{1} ,x_{2} ,x_{3} ,...x_{i} ,...)}{\Delta x_{i}} \) | (1.3.) |
Przyrost dotyczy tu tylko jednej ze zmiennych niezależnych, zaś pozostałe zmienne są w tym przypadku stałe. Pochodne cząstkowe oblicza się zgodnie z regułami obliczania pochodnych jednej zmiennej, traktując pozostałe zmienne jak stałe. (Zauważmy, że w przypadku pochodnych cząstkowych używamy innego symbolu oznaczenia pochodnej pisząc \( \displaystyle \frac{\partial y}{\partial x_{i}} \) .)
Obliczanie pochodnych funkcji nazywamy różniczkowaniem.
| Kilka przykładów pochodnych funkcji elementarnych | ||||
| Funkcja | Pochodna funkcji | Funkcja | Pochodna funkcji | |
| \( const \) | 0 | x | 1 | |
| \( \displaystyle x^{n} \) | \( \displaystyle n\cdot x^{n-1} \) | \( \displaystyle \frac{1}{x} \) | \( \displaystyle -\frac{1}{x^{2}} \) | |
| \( \displaystyle \sqrt{x} \) | \( \displaystyle \frac{1}{2\sqrt{x}} \) | \( \displaystyle ln\ | x| \) | \( \displaystyle \frac{1}{x} \) | |
| \( \displaystyle e^{x} \) | \( \displaystyle e^{x} \) | \( \displaystyle a^{x} \) | \( \displaystyle a^{x} \cdot ln\ \) | |
| \( sin x \) | \( cos x \) | \( cos x \) | \( - sin x \) | |
| \( tg x \) | \( \displaystyle \frac{1}{cos^{2} \ x} =1+tg^{2} \ x \) | \( ctg x \) | \( \displaystyle -\frac{1}{sin^{2} \ x} =-\left( 1+ctg^{2} \ x\right) \) | |
Reguły różniczkowania
(Uwaga: Przez \( u, v, w, ... \) oznaczamy funkcje zmiennej \( x \))
| 1. | Pochodna (lub różniczka) algebraicznej sumy funkcji równa jest algebraicznej sumie pochodnych tych funkcji liczonych dla każdej funkcji oddzielnie, tj. |
| Wzór: | \( \displaystyle ( u+v-w) `=u`+v`-w` \) , \( \displaystyle d( u+v-w) =du+dv-dw \) |
| Przykład: | \( \displaystyle y=\overbrace{x^{3}}^{u} -\overbrace{x^{2}}^{v} +\overbrace{4\cdot x}^{w} -\overbrace{2}^{t} \) , \( \displaystyle y`=\overbrace{3x^{2}}^{u`} -\overbrace{2x}^{v`} +\overbrace{4}^{w`} -\overbrace{0}^{t`} =3x^{2} -2x+4 \) |
| 2. | Pochodna (lub różniczka) iloczynu funkcji równa jest takiej sumie iloczynów, że w każdym jej składniku jeden z czynników zastępowany jest swą pochodną. Dla iloczynu dwóch funkcji mamy: |
| Wzór: | \( \displaystyle ( u\cdot v) `=u`\cdot v+u\cdot v` \) , \( \displaystyle d( u\cdot v) =v\cdot du+v\cdot dv \) |
| Przykład: | \( \displaystyle y=\overbrace{( 1-4x)}^{u} \cdot \overbrace{( 2x-3)}^{v} \), \( \displaystyle y`=\overbrace{-4}^{u`} \cdot \overbrace{( 2x-3)}^{v} +\overbrace{( 1-4x)}^{u} \cdot \overbrace{2}^{v`} =-8x+12+2-8x=2\cdot ( 7-8x) \) |
| 3. | Stały czynnik ( c ) można wynieść przed znak pochodnej (lub różniczki) |
| Wzór: | \( \displaystyle ( c\cdot u) `=c\cdot u` \) , \( \displaystyle d( c\cdot u) =c\cdot du \) |
| Przykład: | \( \displaystyle y=\frac{1}{4} \cdot x^{4} \) , \( \displaystyle y`=\frac{1}{4} \cdot \left( x^{4}\right) `=\frac{1}{4} \cdot \left( 4x^{3}\right) =x^{3} \) |
| 4. | Pochodna (lub różniczka) ilorazu funkcji: |
| Wzór: | \( \displaystyle \left(\frac{u}{v}\right)^{`} =\frac{v\cdot u`-u\cdot v`}{v^{2}} \) , \( \displaystyle d\left(\frac{u}{v}\right) =\frac{v\cdot du-u\cdot dv}{v^{2}} \) |
| Przykład: | \( \displaystyle y=\frac{\overbrace{1+x}^{u}}{\underbrace{1-x}_{v}} \) , \( \displaystyle y`=\frac{\overbrace{( 1-x)}^{v} \cdot \overbrace{1}^{u`} -\overbrace{( 1+x)}^{u} \cdot \overbrace{( -1)}^{v`}}{\underbrace{( 1-x)^{2}}_{v^{2}}} =\frac{2}{( 1-x)^{2}} \) , \( przy x \neq1 \) |
| 5. | Pochodna funkcji złożonej, tj. \( y=f(u) \) gdy a \( u=g(x) \): |
| Wzór: | \( \displaystyle \frac{dy}{dx} =f`( u) \cdot g`( x) \) |
| Przykład: | \( \displaystyle y=\sqrt{1+x^{2}} \); tj. \( \displaystyle y=f( u) =\sqrt{x} \); \( \displaystyle u=g( x) =1+x^{2} \) \( \displaystyle f`( u) =\frac{1}{2\sqrt{u}} \); \( \displaystyle g`( x) =2x \); \( \displaystyle y`=\frac{1}{2\sqrt{u}} \cdot 2x=\frac{x}{\sqrt{1+x^{2}}} \) |
| 5. | Pochodna cząstkowa funkcji wielu zmiennych tj. gdy \( \displaystyle y=f( x_{1} ,x_{2} ,x_{3} ,...x_{i} ,...) \) |
| Wzór: | Stosujemy te same wzory jak dla jednej zmiennej traktując wszystkie zmienne po których pochodna nie jest obliczana jako stałe. |
| Przykład: | Objętość walca \( V \) jest funkcją dwóch zmiennych: promienia \( r \) i wysokości \( h \). Mamy więc zależność \( V=f(r,h) \). Obliczmy pochodną objętości walca względem promienia i względem wysokości. \( \displaystyle V=\pi \cdot r^{2} \cdot h\ ,\ \ \ \ \frac{\partial V}{\partial r} =2\cdot \pi \cdot r\cdot h\ ,\ \ \ \ \frac{\partial V}{\partial r} =\pi \cdot r^{2} \) Jaka treść zawarta jest w tych postaciach pochodnych cząstkowych? |
Fizyczna interpretacja pochodnej.
Rozpatrzmy zależność jakiejś wielkości fizycznej od czasu ( t ); np. położenia ( x ) ciała poruszającego się ruchem zmiennym po linii prostej (samochodu na szosie). Pochodna oznacza tu szybkość zmiany danej wielkości fizycznej w czasie. Kiedy rozpatrujemy zmianę w czasie położenia ciała, to pochodna (dx/dt) jest prędkością chwilową ciała.| Wykonaj teraz test, który pozwoli Ci zrozumieć pojęcie prędkości chwilowej ciała, jako pochodnej położenia względem czasu oraz przyspieszenia, jako pochodnej prędkości względem czasu. | |
![]() |
Niebieska krzywa pokazuje zależność położenia od czasu samochodu, który porusza się na prostoliniowym odcinku szosy. Na trasie samochodu zaznaczono szereg punktów oznaczonych literami: a, b, c, d, e. Odpowiedz:
|
3. Całka
Funkcja pierwotna F(x) danej funkcji y=f(x) - to taka funkcja, której pochodna równa jest f(x) lub, co jest równoważne, której różniczka równa jest f(x)dx.
| \( \displaystyle F`( x) =\frac{dF( x)}{dx} =f( x) \) lub \( \displaystyle F`( x) =f( x) \ dx \) | (1) |
Wiemy, że pochodna stałej równa jest zeru. Wynika z tego, że dla dowolnej stałej C mamy
| \( \displaystyle [ F( x) +C] `=F`( x) +\overbrace{C`}^{0} =F`( x) \) | (2) |
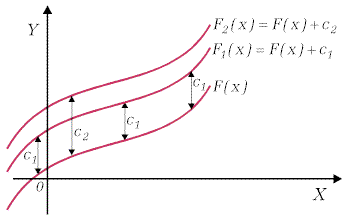
Jeśli więc funkcja \( F(x) \) jest funkcją pierwotną danej funkcji \( f(x) \), to każda funkcja różniąca się od \( F(x) \) o stałą wartość jest także funkcją pierwotną funkcji \( f(x) \). Funkcja \( f(x) \) ma więc nieskończenie wiele funkcji pierwotnych różniących się o wartość dowolnej stałej.
![]() |
Na rysunku obok krzywe F1(x) i F2(x) są identyczne z krzywą F(x) i otrzymane są przez równoległe przesuniecie krzywej F(x) wzdłuż osi Y o odcinki odpowiednio C1 i C2. Wszystkie trzy krzywe są funkcjami pierwotnymi danej funkcji f(x). |
Zbiór wszystkich funkcji pierwotnych danej funkcji f(x) nazywamy całką nieoznaczoną funkcji f(x), co zapisujemy w postaci.
| \( \displaystyle \int f( x) dx=F( x) +C \) | (3) |
Mówimy, że całkę wyznaczamy z dokładnością do stałej dowolnej, którą nazywamy stałą całkowania
| Kilka przykładów podstawowych całek (pominięto stałą całkowania) | ||
| \( \displaystyle \int x^{n} dx=\frac{x^{n+1}}{n+1} ,\ n\neq -1 \) | \( \displaystyle \int e^{x} \ dx=e^{x} \) | |
| \( \displaystyle \int \frac{dx}{x} =ln\ | x| \) | \( \displaystyle \int a^{x} \ dx=\frac{a^{x}}{ln\ a} \ ,\ \ a >0,\ a\neq 1 \) | |
| \( \displaystyle \int sin\ x\cdot dx=-cos\ \) | \( \displaystyle \int cos\ x\cdot dx=sin\ x \) | |
| \( \displaystyle \int tg\ x\cdot dx=-ln\ | cos\ x| \) | \( \displaystyle \int ctg\ x\cdot dx=ln\ |\ sin\ x\ | \) | |
Podstawowe reguły całkowania
| 1. | Stały czynnik ( c ) można wynieść przed znak całki |
| Wzór: | \( \displaystyle \int c\cdot f( x) \ dx=c\cdot \int f( x) \ dx \) |
| Przykład: | \( \displaystyle \int 5x^{2} \ dx\ =5\cdot \int x^{2} \ dx=5\cdot \frac{x^{3}}{3} +C=\frac{5}{3} \cdot x^{3} +C \) |
| 2. | Całka sumy (lub różnicy) funkcji równa jest sumie (lub różnicy) całek poszczególnych składników |
| Wzór: | \( \displaystyle \int ( u+v-w) dx=\int u\ dx+\int v\ dx-\int w\ dx \) |
| Przykład: | \( \displaystyle \int \left( x^{2} +x+1\right) dx=\int x^{2} \ dx+\int x\ dx+\int dx=\frac{x^{3}}{3} +\frac{x^{2}}{2} +x+C \) |
| 3. | Całkowanie metodą podstawienia |
| Wzór: | \( \displaystyle \int f( x) \ dx=\int f[ g( t)] \cdot g`( t) \ dt \) |
| Przykład: | \( \displaystyle \int \sqrt{a^{2} +x^{2}} \cdot x\ dx \) ( \( a \)- stała); podstawiamy: \( \displaystyle t^{2} =a^{2} +x^{2} \) różniczkując otrzymujemy: \( \displaystyle 2\cdot t\cdot dt=2\cdot x\cdot dx \) lub \( \displaystyle x\cdot dx=t\cdot dt \) Mamy więc: \( \displaystyle \int \sqrt{a^{2} +x^{2}} \cdot x\cdot dx=\int t^{2} \ dt=\frac{t^{3}}{3} +C=\frac{\left( a^{2} +x^{2}\right)^{3/2}}{3} +C \) |
| 4. | Całkowanie przez części |
| Wzór: | \( \displaystyle \int u\ dv=u\cdot v-\int v\ du \) |
| Przykład: | \( \displaystyle \int x\cdot sin\ x\ dx \) ; przyjmujemy: \( \displaystyle u=x,\ dv=sin\ x\cdot dx \) czyli \( \displaystyle du=dx,\ v=-cos\ x \), otrzymujemy: \( \displaystyle \int \overbrace{x}^{u} \cdot \overbrace{sin\ x\ dx}^{dv} =\overbrace{-cos\ x}^{v} \cdot \overbrace{x}^{u} -\int \overbrace{-cos\ x}^{v} \ \overbrace{dx}^{du} =-x\cdot cos\ x+sin\ x+C \) |
Całka oznaczona
Z definicji (1) wynika, że różnica funkcji pierwotnych wyznaczonych dla dwóch wartości a i b zmiennej x może być wyznaczona jako suma nieskończenie wielu różniczek \( \displaystyle dF( x) =f( x) \ dx \). Suma taka, to całka oznaczona funkcji \( f(x) \)w przedziale od granicy dolnej, a do granicy górnej b i może być zapisana jest w postaci| \( \displaystyle F( b) -F( a) =\int\limits ^{b}_{a} f( x) \ dx \) | (4) |
Wzór (4) wyraża podstawowe twierdzenie rachunku całkowego, umożliwiające wyrażenie całki oznaczonej przez nieoznaczoną. Dla wyznaczenia całki oznaczonej w granicach od a do b należy znaleźć funkcję pierwotną \( F(x) \) danej funkcji \( f(x) \), wyznaczyć wartości tej funkcji w punktach x=a oraz x=b, a następnie obliczyć różnicę \( F(b)-F(a) \). W rezultacie odejmowania stała całkowania redukuje się, więc nie występuje przy obliczaniu całek oznaczonych.
![]() Rys 1. Geometryczna interpretacja całki oznaczonej. |
Wyrażenie \( f(x) dx \) reprezentowane jest przez pole elementarnego paska o szerokości \( dx \) i wysokości \( y(x) \), zaś całka oznaczona (4) równa jest polu figury pod krzywą \( y=f(x) \) i ograniczonej rzędnymi w punktach \( y(a) \) oraz \( y(b) \). Przy zamianie granic całkowania w wyrażeniu (2) znak całki zmienia się na przeciwny. |
![]() |
Jako poglądowy przykład obliczmy całkę oznaczoną funkcji y=x w granicach od x=1 do x=2 . \( \displaystyle \int\limits ^{2}_{1} x\ dx=\begin{array}{ c|}
x^{2}\\
\hline
2
\end{array}^{2}_{1} =\frac{2^{2}}{2} -\frac{1^{2}}{2} =\frac{3}{2} \) Otrzymana wartość, to pole figury pokazanej na rysunku kolorem jasno-zielonym. |
Rys.1. Wektor 


Rys.5. Wyznaczenie iloczynu wektorowego




